Dyes & Quenchers precursor

(3)

Dyes and quenchers precursors are inactive molecules that can be chemically transformed into functional dyes and quenchers. These functional molecules have a wide range of applications in various fields, including:

Biomedical Imaging: Dyes and quenchers are used to label biomolecules (such as proteins, DNA, and antibodies) for in vitro and in vivo imaging applications. In their inactive precursor form, they are non-fluorescent, minimizing background signal. Once they reach the target site, they are cleaved by enzymes or other stimuli to release the active fluorophore (dye) and quencher. The dye emits light at a specific wavelength, allowing researchers to visualize the labeled biomolecule. The quencher can be used to turn the fluorescence on and off in response to a specific trigger, enabling researchers to study biological processes.

Biosensors: Dyes and quenchers can be used to develop biosensors for the detection of various analytes, such as ions, biomolecules, and pathogens. In a typical biosensor design, the dye and quencher are attached to a biorecognition molecule (such as an antibody or enzyme) that specifically binds to the target analyte. When the analyte binds to the biorecognition molecule, it brings the dye and quencher in close proximity, leading to quenching of the dye's fluorescence. The decrease in fluorescence intensity can be measured and used to quantify the amount of the analyte present in the sample.

Drug Delivery: Dyes and quenchers can be used to develop targeted drug delivery systems. The dye can be used to track the location of the drug carrier in the body, while the quencher can be used to control the release of the drug in response to a specific trigger.

Photodynamic Therapy: Dyes can be used in photodynamic therapy (PDT) to kill cancer cells. In PDT, a dye is administered to the patient and then activated by light. The activated dye generates reactive oxygen species (ROS), which can damage and kill cancer cells. Quenchers can be used to control the activation of the dye and minimize damage to healthy tissues.

View as

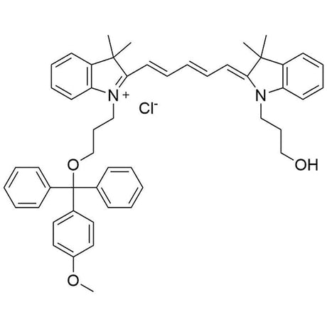
  • Chemical structure of a Dyes Precursor - Cyanine 3 mono MMT
    View details

    Cyanine 3 mono MMT

    Catalog No.: ON-1010

    Purity: HPLC≥98%

    Price Inquiry

    $0.00
  • Chemical structure of a Dyes Precursor Cyanine 5 mono MMT
    View details

    Cyanine 5 mono MMT

    Catalog No.: ON-1009

    Purity: HPLC≥95%

    Price Inquiry

    $0.00
  • View details

    6-ROX NHS Ester

    Catalog No.: ON-101

    Purity: HPLC≥92.0%

    Price Inquiry

    $0.00

Compare /8

Loading...

My Wishlist